Официальное опубликование правовых актов
ОФИЦИАЛЬНОЕ ОПУБЛИКОВАНИЕ
Постановление Правительства Республики Хакасия от 31.10.2016 № 516
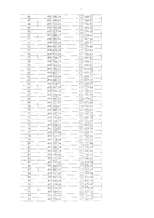
"О внесении изменений в постановление Правительства Республики Хакасия от 24.12.2008 № 484 "Об утверждении границ и отнесении земель к землям особо охраняемых территорий рекреационного назначения республиканского значения в Ширинском районе"
Номер опубликования: 1900201611020002
Дата опубликования: 02.11.2016
Страница №3 из 4:
Увеличить