Официальное опубликование правовых актов
ОФИЦИАЛЬНОЕ ОПУБЛИКОВАНИЕ
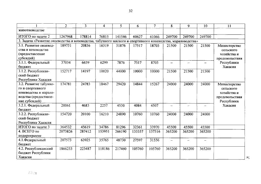
Постановление Правительства Республики Хакасия от 25.12.2015 № 698
"О внесении изменений в государственную программу Республики Хакасия "Развитие агропромышленного комплекса Республики Хакасия и социальной сферы на селе на 2013–2020 годы, утвержденную постановлением Правительства Республики Хакасия от 19.11.2012 № 781"
Номер опубликования: 1900201512280008
Дата опубликования: 28.12.2015
Страница №32 из 90:
Увеличить