Официальное опубликование правовых актов
ОФИЦИАЛЬНОЕ ОПУБЛИКОВАНИЕ
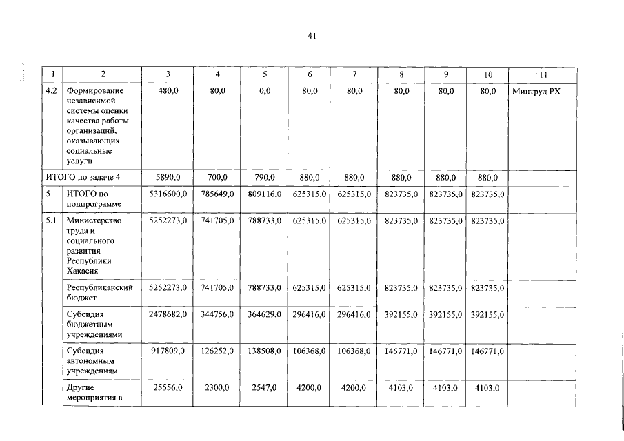
Постановление Правительства Республики Хакасия от 25.12.2015 № 696
"О внесении изменений в государственную программу Республики Хакасия "Социальная поддержка граждан (2014–2020 годы)", утвержденную постановлением Правительства Республики Хакасия от 13.11.2013 № 620"
Номер опубликования: 1900201512280006
Дата опубликования: 28.12.2015
Страница №41 из 64:
Увеличить