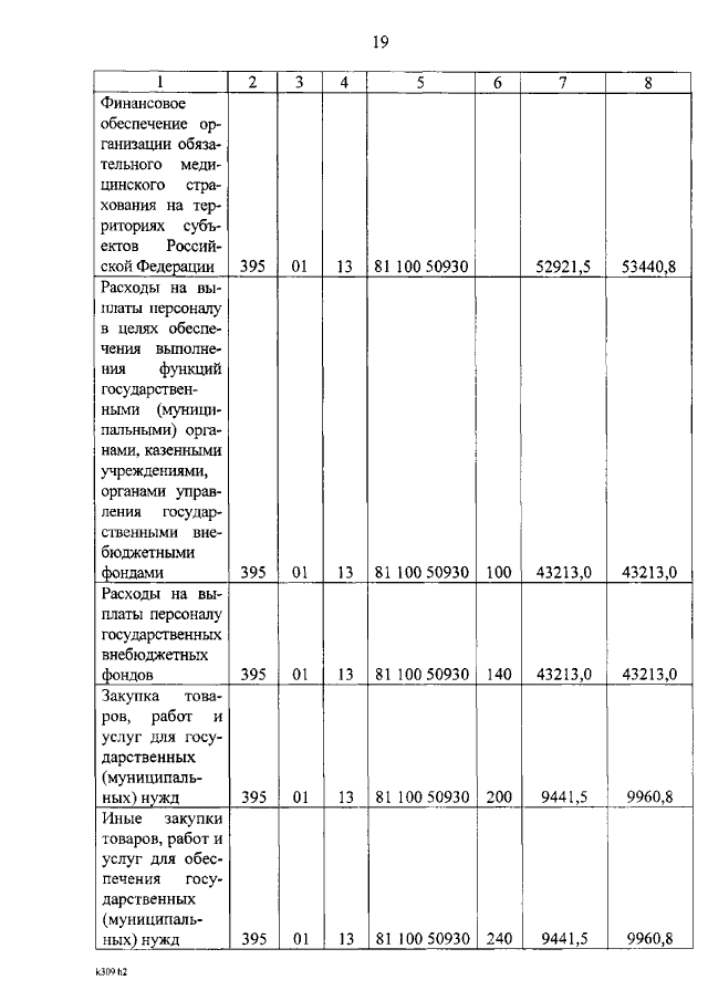
Закон Республики Хакасия от 07.12.2015 № 109-ЗРХ
"О бюджете Территориального фонда обязательного медицинского страхования Республики Хакасия на 2016 год и на плановый период 2017 и 2018 годов"
"О бюджете Территориального фонда обязательного медицинского страхования Республики Хакасия на 2016 год и на плановый период 2017 и 2018 годов"
Номер опубликования: 1900201512090013
Дата опубликования:
09.12.2015
