Официальное опубликование правовых актов
ОФИЦИАЛЬНОЕ ОПУБЛИКОВАНИЕ
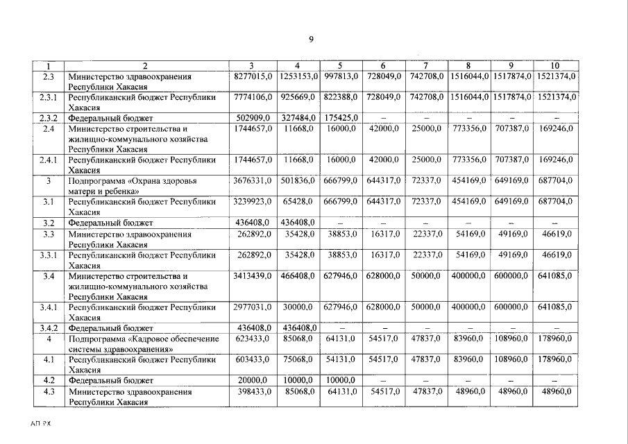
Постановление Правительства Республики Хакасия от 13.11.2015 № 592
"О внесении изменений в государственную программу Республики Хакасия "Развитие здравоохранения Республики Хакасия до 2020 года", утвержденную постановлением Правительства Республики Хакасия от 13.11.2013 № 614"
Номер опубликования: 1900201511170010
Дата опубликования: 17.11.2015
Страница №9 из 43:
Увеличить