Официальное опубликование правовых актов
ОФИЦИАЛЬНОЕ ОПУБЛИКОВАНИЕ
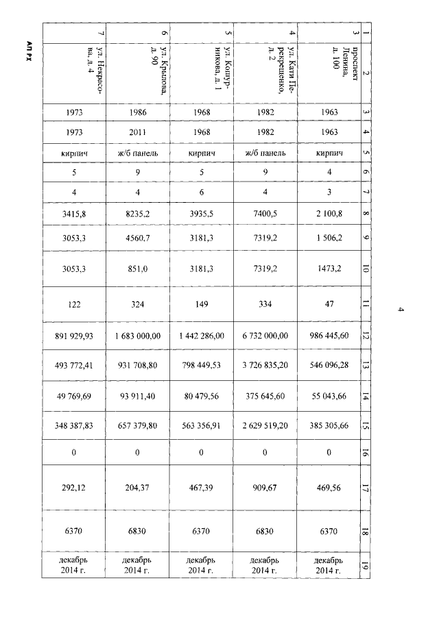
Постановление Правительства Республики Хакасия от 28.05.2015 № 246
"О внесении изменения в Краткосрочный план реализации региональной программы "Капитальный ремонт общего имущества в многоквартирных домах, расположенных на территории Республики Хакасия (2014–2043 годы)" на 2014–2016 годы", утвержденный постановлением Правительства Республики Хакасия от 15.05.2014 № 229"
Номер опубликования: 1900201506010011
Дата опубликования: 01.06.2015
Страница №4 из 250:
Увеличить