Официальное опубликование правовых актов
ОФИЦИАЛЬНОЕ ОПУБЛИКОВАНИЕ
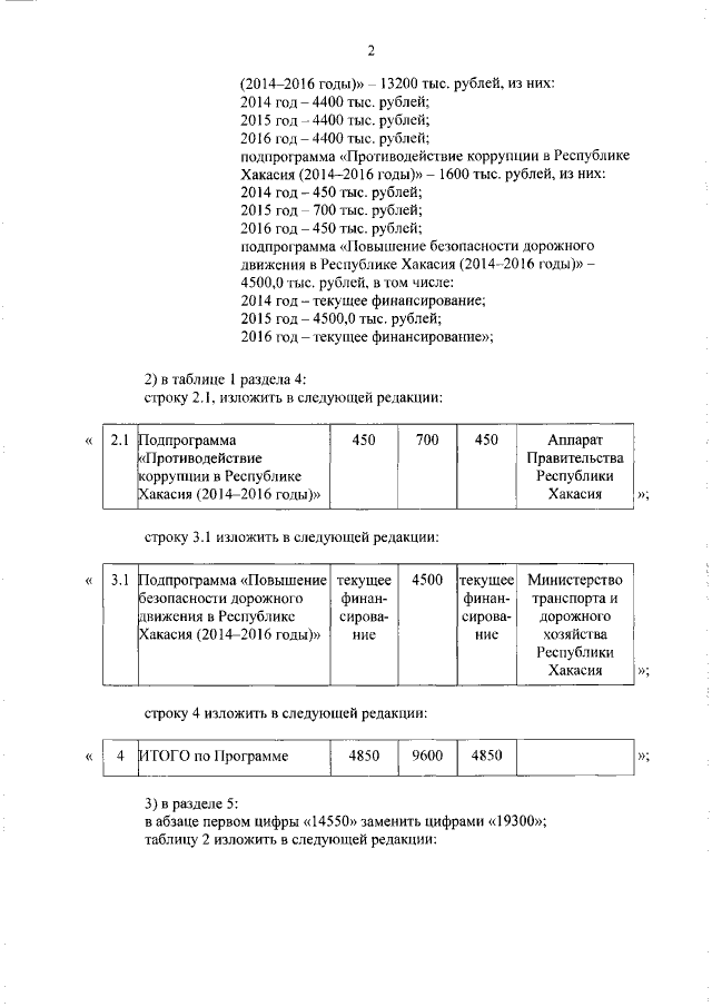
Постановление Правительства Республики Хакасия от 11.03.2015 № 92
"О внесении изменений в государственную программу Республики Хакасия "Обеспечение общественного порядка и противодействие преступности в Республике Хакасия (2014-2016 годы)", утвержденную постановлением Правительства Республики Хакасия от 13.11.2013 № 618"
Номер опубликования: 1900201503160001
Дата опубликования: 16.03.2015
Страница №2 из 11:
Увеличить