Официальное опубликование правовых актов
ОФИЦИАЛЬНОЕ ОПУБЛИКОВАНИЕ
Приказ Министерства природных ресурсов и охраны окружающей среды Удмуртской Республики от 26.12.2022 № 1373
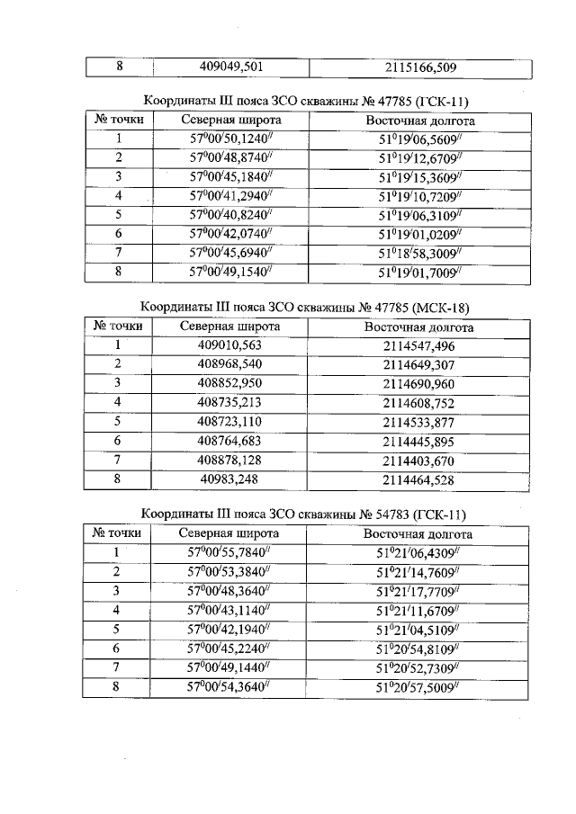
"Об установлении границ и режима зон санитарной охраны водозаборных скважин №№ 28872, 39972, 47785, 54783, расположенных в с. Кильмезь Сюмсинского района Удмуртской Республики"
Номер опубликования: 1801202212290001
Дата опубликования: 29.12.2022
Страница №15 из 19:
Увеличить