Официальное опубликование правовых актов
ОФИЦИАЛЬНОЕ ОПУБЛИКОВАНИЕ
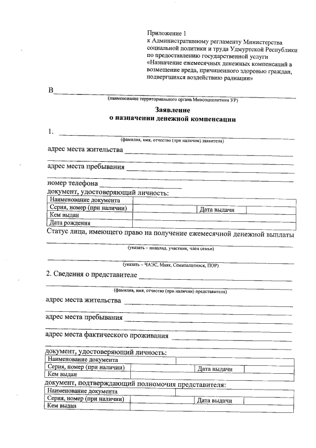
Приказ Министерства социальной политики и труда Удмуртской Республики от 27.11.2019 № 296
"Об утверждении Административного регламента Министерства социальной политики и труда Удмуртской Республики по предоставлению государственной услуги "Назначение ежемесячных денежных компенсаций в возмещение вреда, причиненного здоровью граждан, подвергшихся воздействию радиации"
Номер опубликования: 1801201911290007
Дата опубликования: 29.11.2019
Страница №38 из 42:
Увеличить