Официальное опубликование правовых актов
ОФИЦИАЛЬНОЕ ОПУБЛИКОВАНИЕ
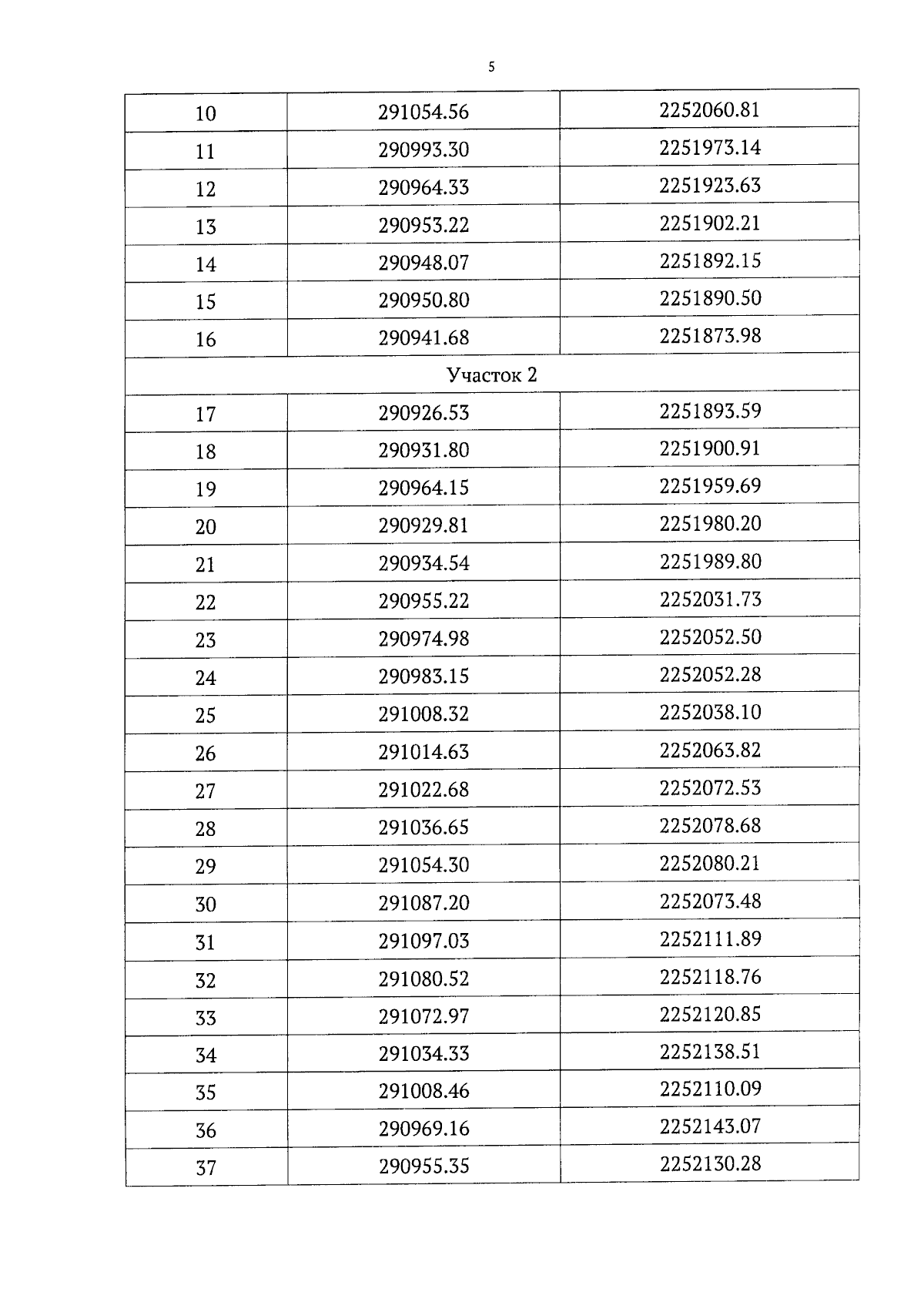
Постановление Правительства Удмуртской Республики от 28.11.2025 № 701
"Об установлении зон охраны объекта культурного наследия регионального значения "Церковь Рождества Богородицы" и утверждении требований к градостроительным регламентам в границах территорий данных зон"
Номер опубликования: 1800202512040002
Дата опубликования: 04.12.2025
Страница №7 из 10:
Увеличить