Официальное опубликование правовых актов
ОФИЦИАЛЬНОЕ ОПУБЛИКОВАНИЕ
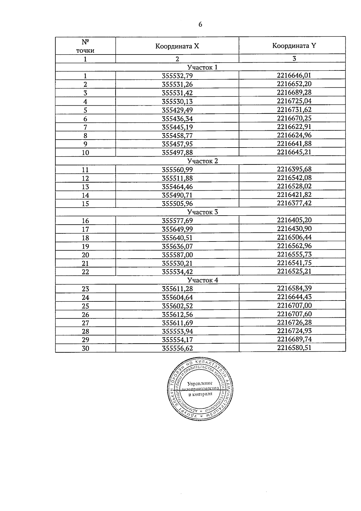
Постановление Правительства Удмуртской Республики от 17.03.2025 № 141
"Об установлении зон охраны объекта культурного наследия регионального значения "Храм Михаила Архангела, 1902 г., архитекторы Дружинин В.М., Чарушин И.А." и утверждении требований к градостроительным регламентам в границах территорий данных зон"
Номер опубликования: 1800202503240005
Дата опубликования: 24.03.2025
Страница №8 из 12:
Увеличить