Официальное опубликование правовых актов
ОФИЦИАЛЬНОЕ ОПУБЛИКОВАНИЕ
Постановление Правительства Удмуртской Республики от 07.03.2025 № 121
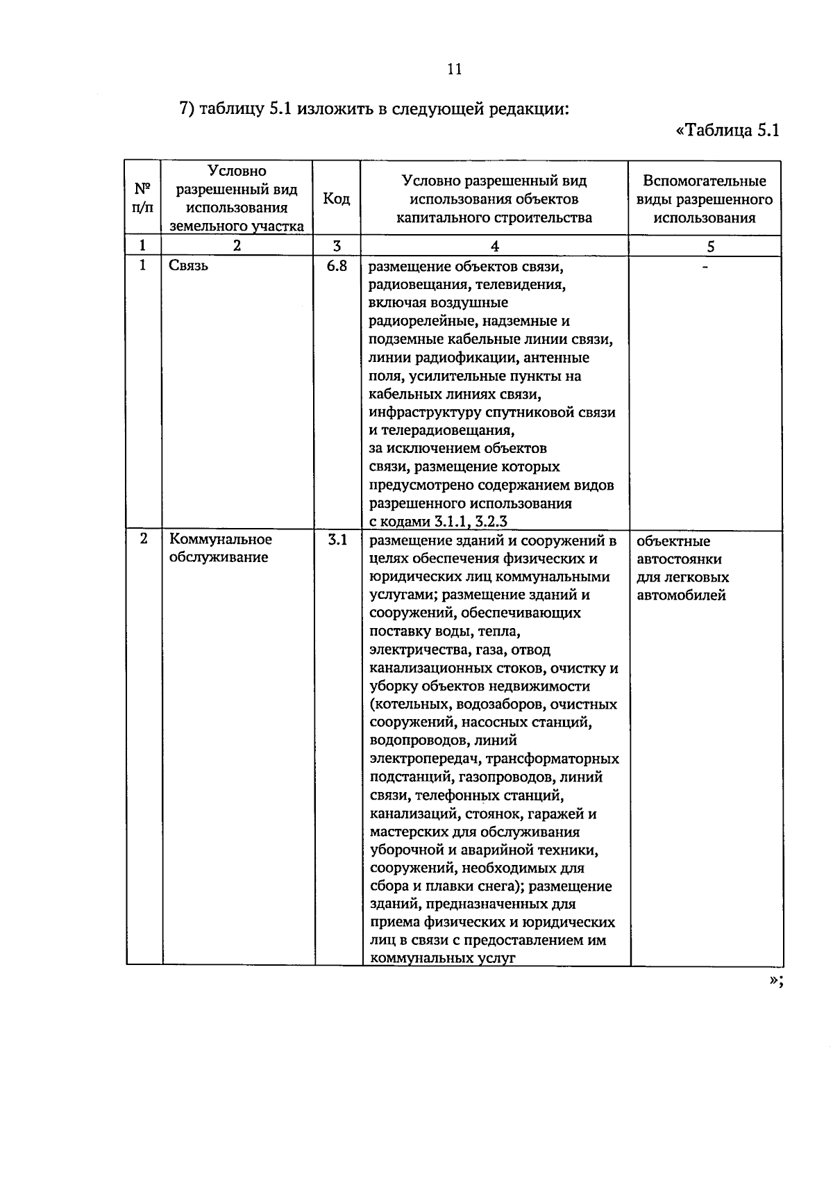
"О внесении изменений в Правила землепользования и застройки территории муниципального образования "Дизьминское", утвержденные решением Совета депутатов муниципального образования "Дизьминское" Ярского района Удмуртской Республики от 27 июня 2012 года № 13 "Об утверждении Правил землепользования и застройки территории муниципального образования "Дизьминское"
Номер опубликования: 1800202503120001
Дата опубликования: 12.03.2025
Страница №11 из 30:
Увеличить