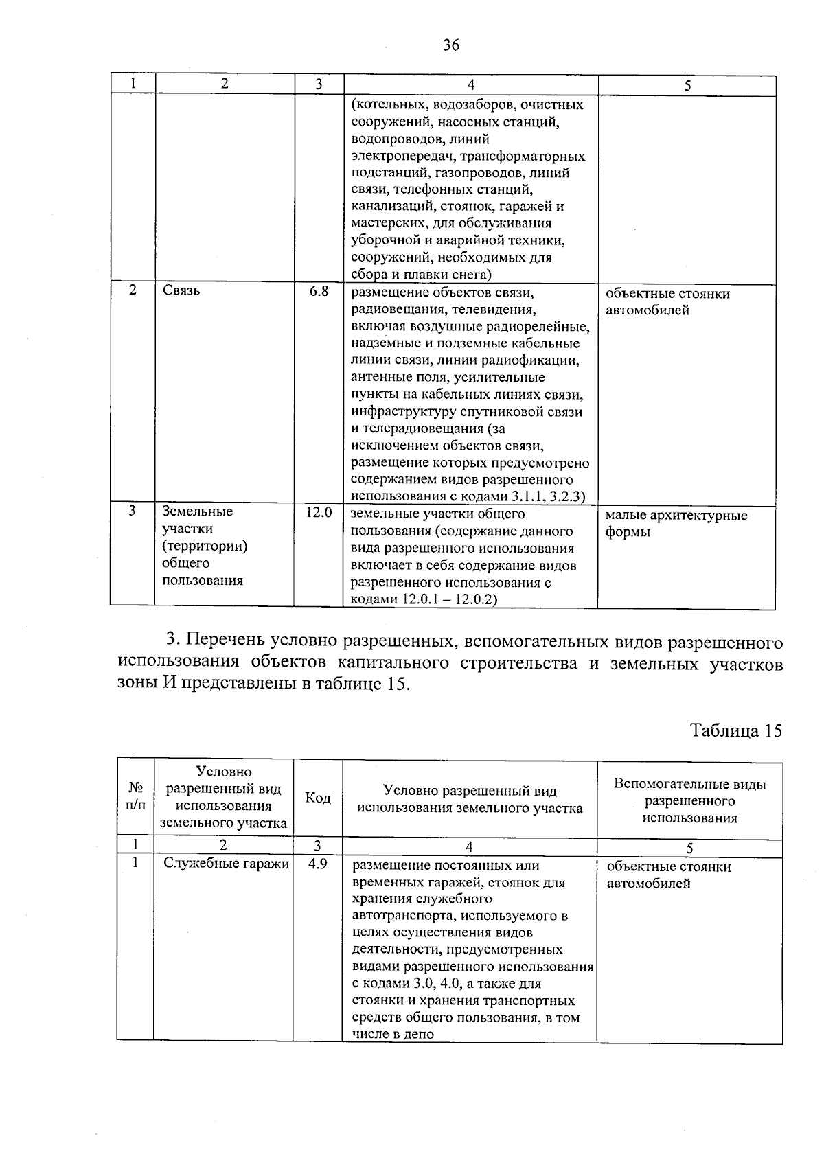
Постановление Правительства Удмуртской Республики от 16.09.2024 № 487
"О внесении изменения в Правила землепользования и застройки муниципального образования "Байтеряковское", утвержденные решением Совета депутатов муниципального образования "Байтеряковское" Алнашского района Удмуртской Республики от 27 ноября 2013 года № 47-12 "Об утверждении Правил землепользования и застройки муниципального образования "Байтеряковское"
"О внесении изменения в Правила землепользования и застройки муниципального образования "Байтеряковское", утвержденные решением Совета депутатов муниципального образования "Байтеряковское" Алнашского района Удмуртской Республики от 27 ноября 2013 года № 47-12 "Об утверждении Правил землепользования и застройки муниципального образования "Байтеряковское"
Номер опубликования: 1800202409190001
Дата опубликования:
19.09.2024
