Официальное опубликование правовых актов
ОФИЦИАЛЬНОЕ ОПУБЛИКОВАНИЕ
Постановление Правительства Удмуртской Республики от 15.08.2024 № 439
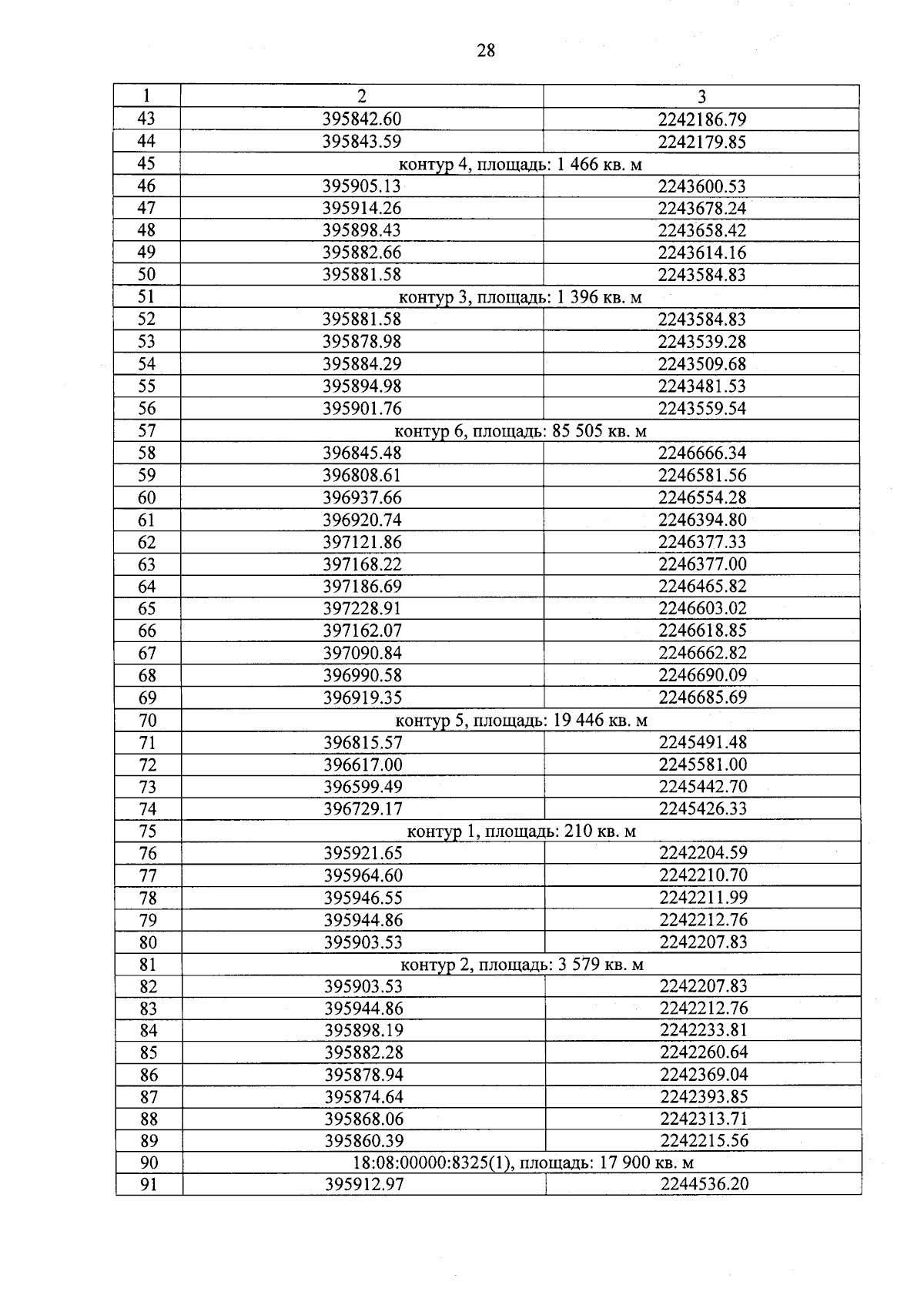
"Об утверждении документации по планировке территории (проекта планировки и проекта межевания территории) по объекту "Реконструкция автомобильной дороги 94 ОП РЗ Р-1 Ижевск – Воткинск в Удмуртской Республике (1 этап)"
Номер опубликования: 1800202408260008
Дата опубликования: 26.08.2024
Страница №29 из 94:
Увеличить