Официальное опубликование правовых актов
ОФИЦИАЛЬНОЕ ОПУБЛИКОВАНИЕ
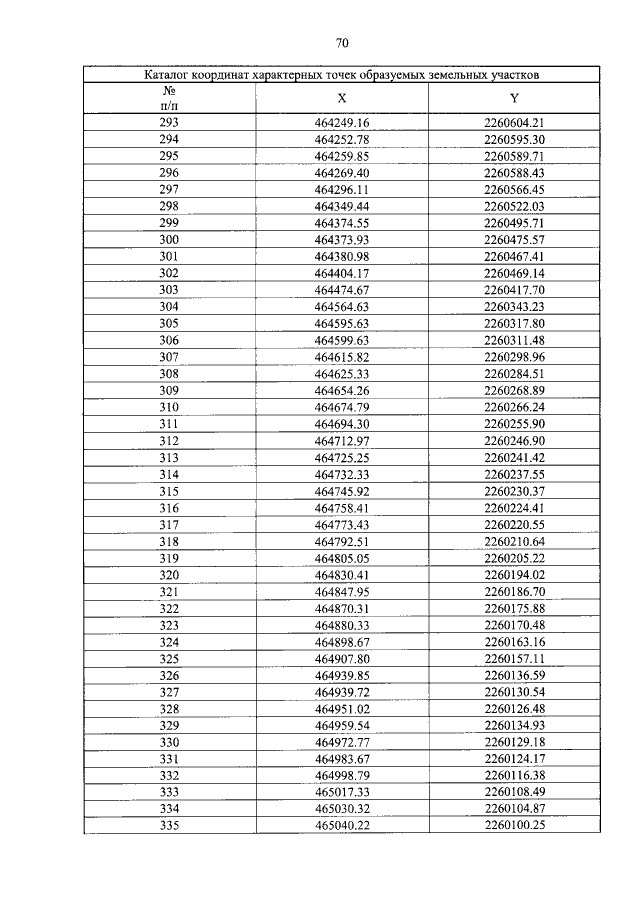
Постановление Правительства Удмуртской Республики от 21.11.2022 № 633
"Об утверждении документации по планировке территории (проекта планировки и проекта межевания территории) по объекту "Реконструкция участка автомобильной дороги Дебесы – Шаркан км 0+056 – км 26+887, участок от д. Такагурт до д. Старый Кыч в Дебесском районе Удмуртской Республики"
Номер опубликования: 1800202211250015
Дата опубликования: 25.11.2022
Страница №71 из 75:
Увеличить