Официальное опубликование правовых актов
ОФИЦИАЛЬНОЕ ОПУБЛИКОВАНИЕ
Постановление Правительства Удмуртской Республики от 04.07.2022 № 345
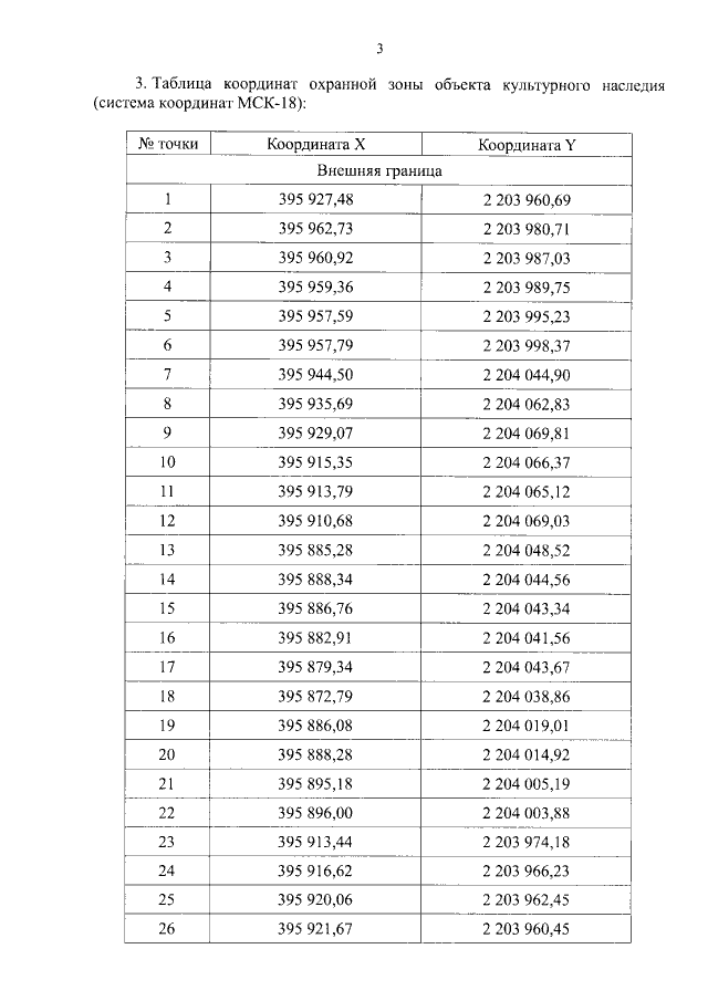
"Об установлении зон охраны объекта культурного наследия регионального значения "Памятник архитектуры – Богоявленская церковь. 1861 г." и утверждении требований к градостроительным регламентам в границах территорий данных зон"
Номер опубликования: 1800202207050002
Дата опубликования: 05.07.2022
Страница №5 из 14:
Увеличить