Официальное опубликование правовых актов
ОФИЦИАЛЬНОЕ ОПУБЛИКОВАНИЕ
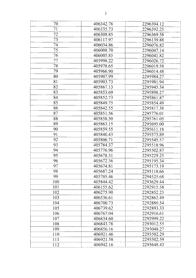
Указ Главы Удмуртской Республики от 30.06.2022 № 125
"Об охранной зоне памятника природы регионального значения "Урочище "Забегаловская дача"
Номер опубликования: 1800202207040002
Дата опубликования: 04.07.2022
Страница №4 из 14:
Увеличить