Официальное опубликование правовых актов
ОФИЦИАЛЬНОЕ ОПУБЛИКОВАНИЕ
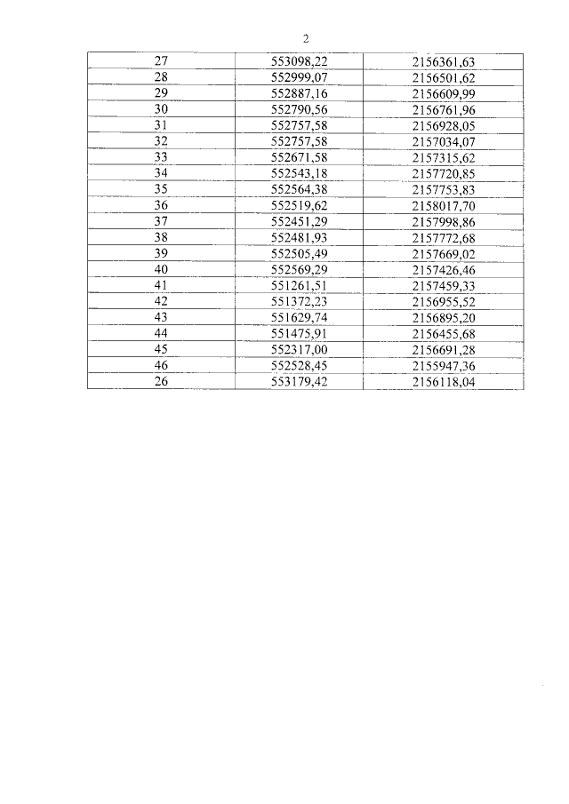
Указ Главы Удмуртской Республики от 10.03.2022 № 30
"Об охранной зоне памятника природы регионального значения "Дикое озеро"
Номер опубликования: 1800202203160012
Дата опубликования: 16.03.2022
Страница №3 из 8:
Увеличить