Официальное опубликование правовых актов
ОФИЦИАЛЬНОЕ ОПУБЛИКОВАНИЕ
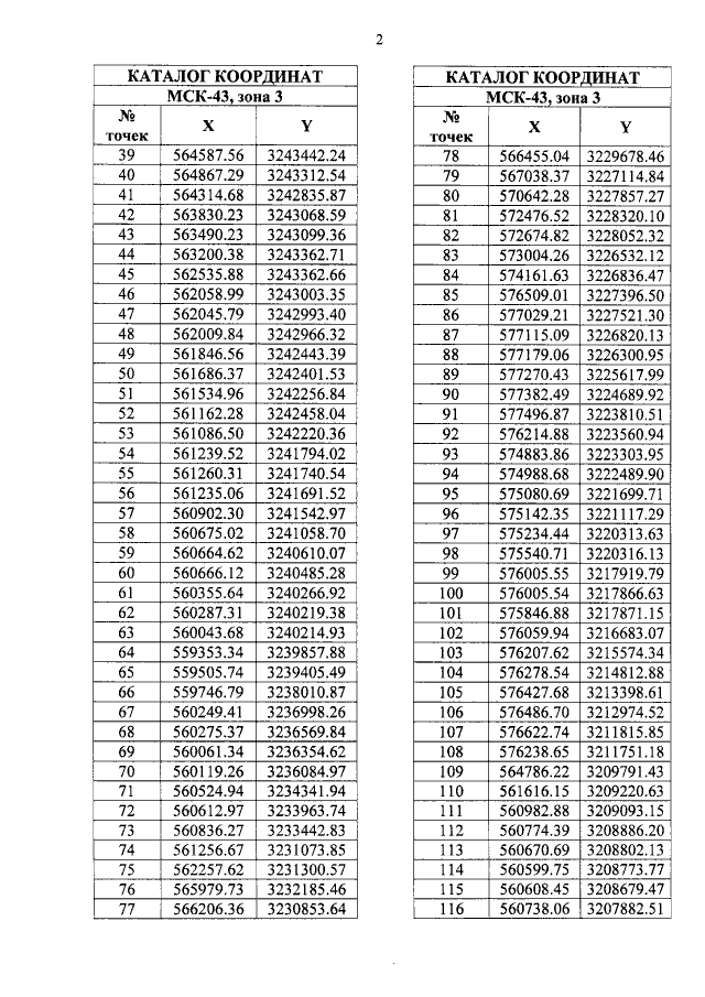
Закон Удмуртской Республики от 24.12.2021 № 132-РЗ
"Об утверждении заключения дополнительного соглашения к Соглашению между Удмуртской Республикой и Кировской областью об описании местоположения границы между Удмуртской Республикой и Кировской областью"
Номер опубликования: 1800202112290004
Дата опубликования: 29.12.2021
Страница №5 из 51:
Увеличить