Официальное опубликование правовых актов
ОФИЦИАЛЬНОЕ ОПУБЛИКОВАНИЕ
Постановление Правительства Удмуртской Республики от 27.05.2021 № 270
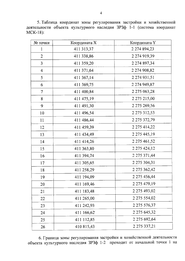
"О внесении изменений в постановление Правительства Удмуртской Республики от 3 июля 2018 года № 259 "Об утверждении границ зон охраны объекта культурного наследия федерального значения "Дом, в котором в 1840 году родился Чайковский Петр Ильич. В доме – мемориальный музей П.И. Чайковского", особых режимов использования земель и требований к градостроительным регламентам в границах данных зон"
Номер опубликования: 1800202105310012
Дата опубликования: 31.05.2021
Страница №5 из 9:
Увеличить