Официальное опубликование правовых актов
ОФИЦИАЛЬНОЕ ОПУБЛИКОВАНИЕ
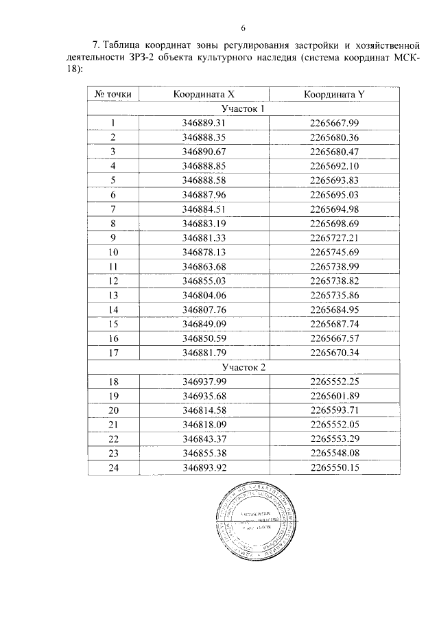
Постановление Правительства Удмуртской Республики от 12.02.2021 № 63
"Об установлении зон охраны объекта культурного наследия регионального значения "Памятник архитектуры – бывшая женская гимназия (ныне школа № 15). Архитектор И.А. Чарушин. 1902 – 1904 гг." и утверждении требований к градостроительным регламентам в границах территорий данных зон"
Номер опубликования: 1800202102160015
Дата опубликования: 16.02.2021
Страница №8 из 13:
Увеличить