Официальное опубликование правовых актов
ОФИЦИАЛЬНОЕ ОПУБЛИКОВАНИЕ
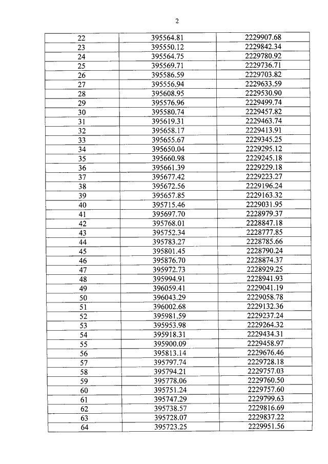
Постановление Правительства Удмуртской Республики от 18.11.2020 № 567
"О внесении изменения в постановление Правительства Удмуртской Республики от 13 апреля 2020 года № 116 "О памятнике природы регионального значения "Урочище "Пазелинское" и о внесении изменений в постановление Правительства Удмуртской Республики от 5 августа 2013 года № 354 "Об утверждении Схемы развития и размещения особо охраняемых природных территорий регионального значения, расположенных на территории города Ижевска, и о внесении изменений в некоторые нормативные правовые акты Совета Министров Удмуртской АССР и Правительства Удмуртской Республики"
Номер опубликования: 1800202011260001
Дата опубликования: 26.11.2020
Страница №3 из 4:
Увеличить