Официальное опубликование правовых актов
ОФИЦИАЛЬНОЕ ОПУБЛИКОВАНИЕ
Постановление Правительства Удмуртской Республики от 29.10.2020 № 501
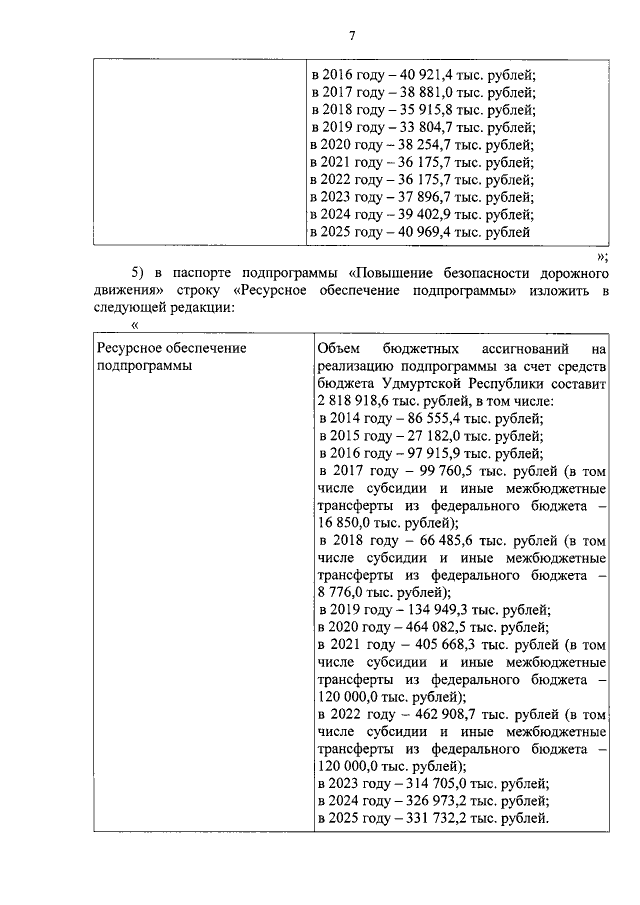
"О внесении изменений в постановление Правительства Удмуртской Республики от 29 июля 2013 года № 330 "Об утверждении государственной программы Удмуртской Республики "Развитие транспортной системы Удмуртской Республики"
Номер опубликования: 1800202011060003
Дата опубликования: 06.11.2020
Страница №7 из 63:
Увеличить