Официальное опубликование правовых актов
ОФИЦИАЛЬНОЕ ОПУБЛИКОВАНИЕ
Постановление Правительства Удмуртской Республики от 03.07.2020 № 297
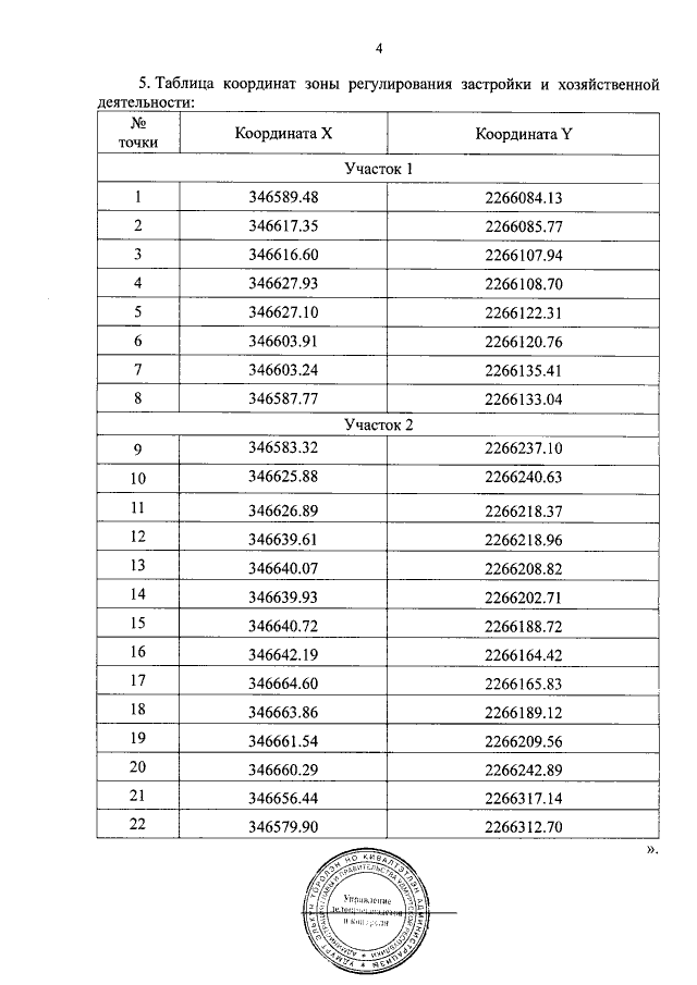
"О внесении изменения в постановление Правительства Удмуртской Республики от 12 февраля 2019 года № 38 "Об установлении зон охраны объекта культурного наследия регионального значения "Удельное ведомство, 1880 г." и утверждении требований к градостроительным регламентам в границах территорий данных зон"
Номер опубликования: 1800202007080010
Дата опубликования: 08.07.2020
Страница №5 из 5:
Увеличить