Официальное опубликование правовых актов
ОФИЦИАЛЬНОЕ ОПУБЛИКОВАНИЕ
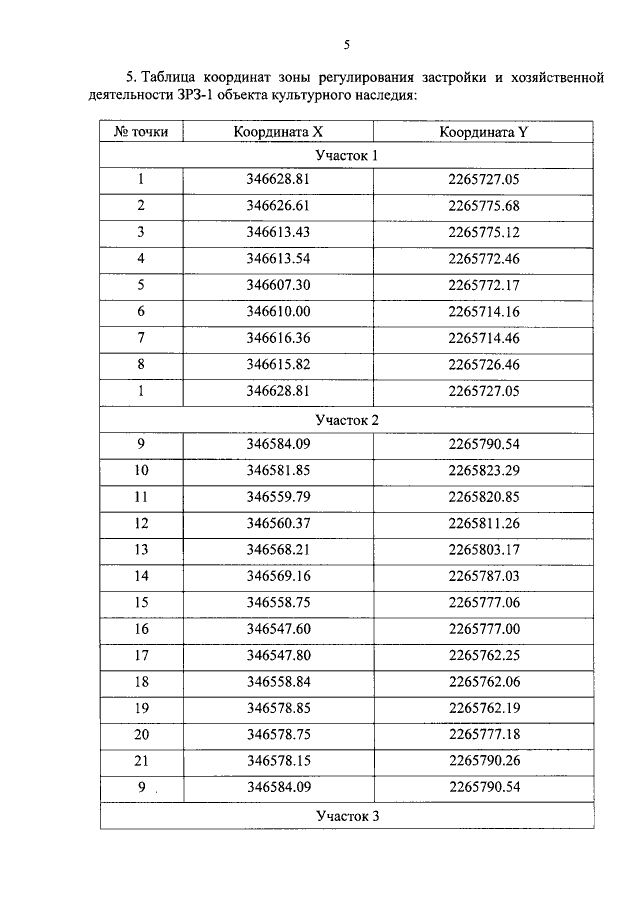
Постановление Правительства Удмуртской Республики от 03.07.2020 № 290
"О внесении изменения в постановление Правительства Удмуртской Республики от 22 мая 2020 года № 205 "Об установлении зон охраны объекта культурного наследия регионального значения "Дом Марковых, бывш. Сарапульское казначейство, 1904 г." и утверждении требований к градостроительным регламентам в границах территорий данных зон"
Номер опубликования: 1800202007080009
Дата опубликования: 08.07.2020
Страница №6 из 9:
Увеличить