Официальное опубликование правовых актов
ОФИЦИАЛЬНОЕ ОПУБЛИКОВАНИЕ
Постановление Правительства Удмуртской Республики от 26.05.2020 № 220
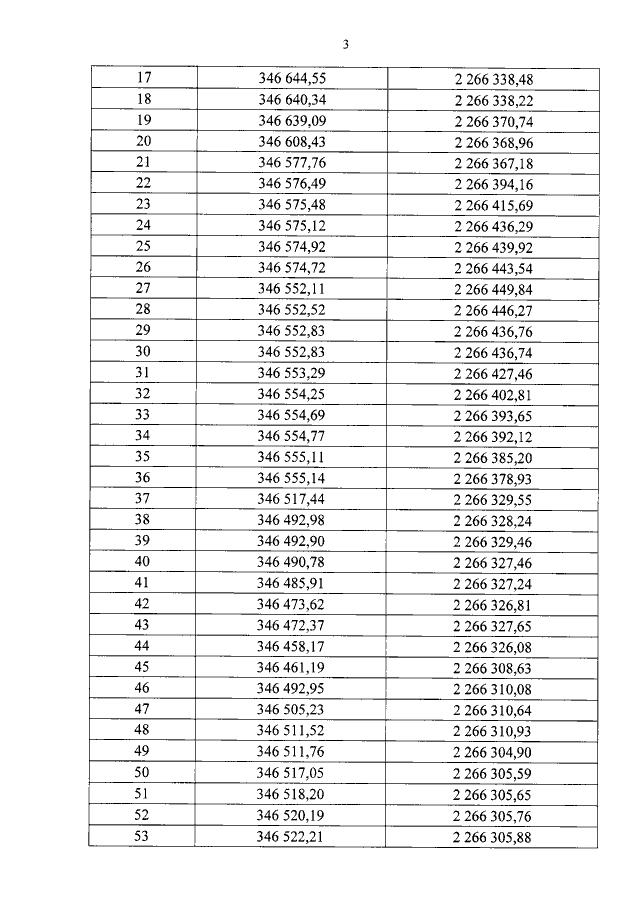
"Об установлении зон охраны объекта культурного наследия регионального значения "Памятник архитектуры (Госбанк). 1894 г. Архитектор неизвестен" и утверждении требований к градостроительным регламентам в границах территорий данных зон"
Номер опубликования: 1800202005300015
Дата опубликования: 30.05.2020
Страница №5 из 16:
Увеличить