Официальное опубликование правовых актов
ОФИЦИАЛЬНОЕ ОПУБЛИКОВАНИЕ
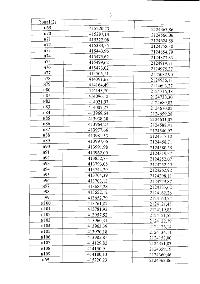
Постановление Правительства Удмуртской Республики от 19.08.2019 № 365
"О памятнике природы регионального значения "Торфяное болото "Вишерское"
Номер опубликования: 1800201908210013
Дата опубликования: 21.08.2019
Страница №9 из 10:
Увеличить