Официальное опубликование правовых актов
ОФИЦИАЛЬНОЕ ОПУБЛИКОВАНИЕ
Постановление Правительства Удмуртской Республики от 14.08.2019 № 355
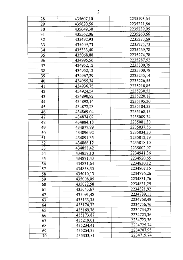
"Об утверждении Положения о памятнике природы регионального значения "Истоки р. Иж"
Номер опубликования: 1800201908150007
Дата опубликования: 15.08.2019
Страница №7 из 10:
Увеличить