Официальное опубликование правовых актов
ОФИЦИАЛЬНОЕ ОПУБЛИКОВАНИЕ
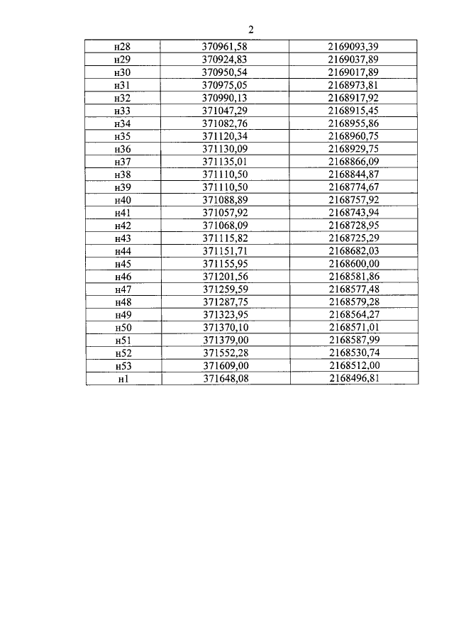
Постановление Правительства Удмуртской Республики от 14.08.2019 № 353
"Об утверждении Положения о памятнике природы регионального значения "Нылгинское устье"
Номер опубликования: 1800201908150001
Дата опубликования: 15.08.2019
Страница №7 из 8:
Увеличить