Официальное опубликование правовых актов
ОФИЦИАЛЬНОЕ ОПУБЛИКОВАНИЕ
Постановление Правительства Удмуртской Республики от 10.07.2019 № 281
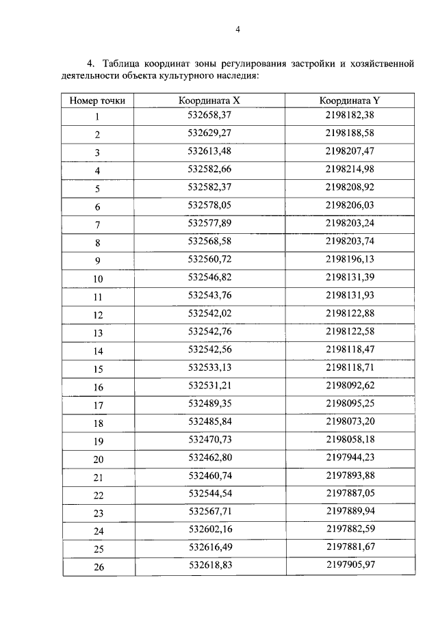
"Об установлении зон охраны объекта культурного наследия регионального значения "Памятник истории - здание бывшей женской гимназии (Дом пионеров), где в 1905 г. под руководством учителей проходила забастовка учащихся" и утверждении требований к градостроительным регламентам в границах территорий данных зон"
Номер опубликования: 1800201907150001
Дата опубликования: 15.07.2019
Страница №6 из 11:
Увеличить