Официальное опубликование правовых актов
ОФИЦИАЛЬНОЕ ОПУБЛИКОВАНИЕ
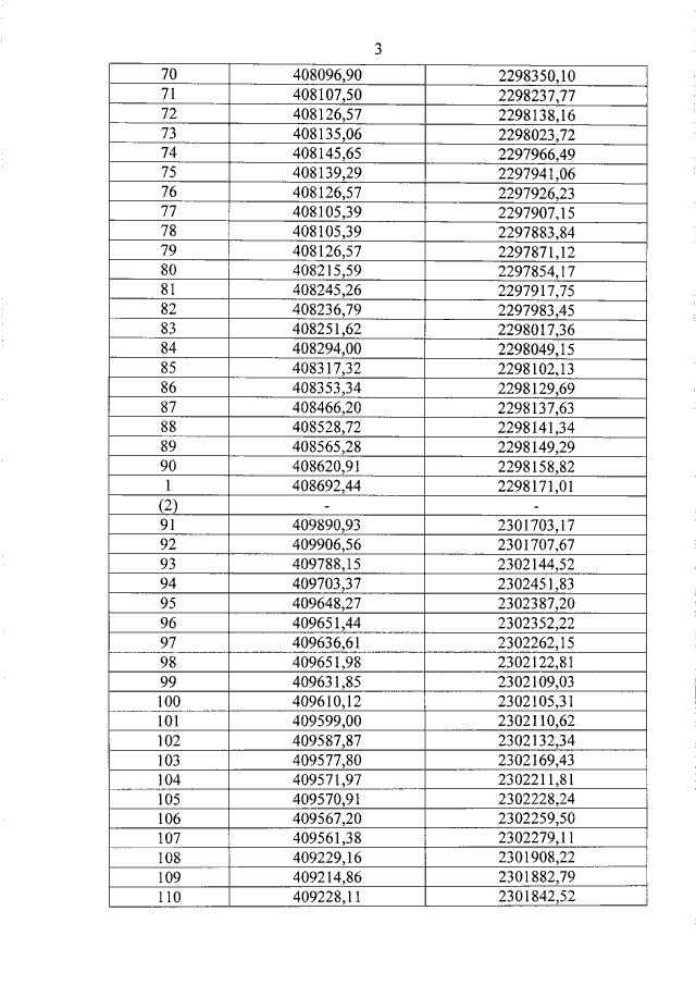
Постановление Правительства Удмуртской Республики от 03.09.2018 № 372
"Об утверждении Положения о памятнике природы регионального значения "Урочище "Степановский сосновый бор"
Номер опубликования: 1800201809060010
Дата опубликования: 06.09.2018
Страница №8 из 12:
Увеличить