Официальное опубликование правовых актов
ОФИЦИАЛЬНОЕ ОПУБЛИКОВАНИЕ
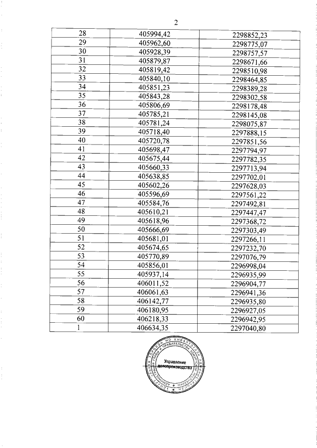
Постановление Правительства Удмуртской Республики от 10.08.2018 № 340
"Об утверждении Положения о памятнике природы регионального значения "Урочище "Степановская дача"
Номер опубликования: 1800201808170008
Дата опубликования: 17.08.2018
Страница №7 из 7:
Увеличить