Официальное опубликование правовых актов
ОФИЦИАЛЬНОЕ ОПУБЛИКОВАНИЕ
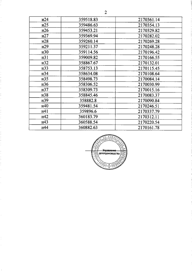
Постановление Правительства Удмуртской Республики от 10.08.2018 № 333
"О памятнике природы регионального значения "Торфяное болото "Бурмакинское"
Номер опубликования: 1800201808170004
Дата опубликования: 17.08.2018
Страница №7 из 7:
Увеличить