Официальное опубликование правовых актов
ОФИЦИАЛЬНОЕ ОПУБЛИКОВАНИЕ
Постановление Правительства Удмуртской Республики от 29.09.2017 № 409
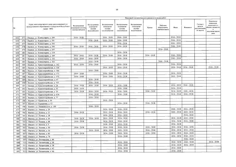
"О внесении изменений в постановление Правительства Удмуртской Республики от 4 апреля 2016 года № 130 "Об утверждении Краткосрочного плана реализации Региональной программы капитального ремонта общего имущества в многоквартирных домах в Удмуртской Республике на 2016 - 2018 годы"
Номер опубликования: 1800201710050008
Дата опубликования: 05.10.2017
Страница №20 из 37:
Увеличить