Официальное опубликование правовых актов
ОФИЦИАЛЬНОЕ ОПУБЛИКОВАНИЕ
Постановление Правительства Удмуртской Республики от 29.09.2017 № 408
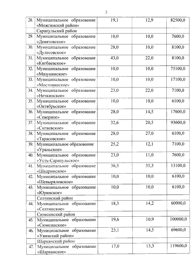
"О распределении бюджетам муниципальных образований в Удмуртской Республике субсидий на финансовое и материально-техническое обеспечение деятельности народных дружин и общественных объединений правоохранительной направленности, участвующих в охране общественного порядка, из бюджета Удмуртской Республики и утверждении значений целевых показателей результативности ее предоставления, на 2017 год"
Номер опубликования: 1800201710050004
Дата опубликования: 05.10.2017
Страница №5 из 6:
Увеличить