Официальное опубликование правовых актов
ОФИЦИАЛЬНОЕ ОПУБЛИКОВАНИЕ
Постановление Правительства Удмуртской Республики от 07.09.2017 № 371
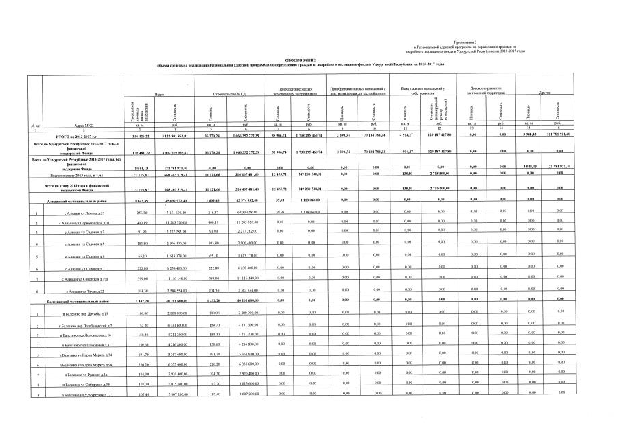
"О внесении изменения в постановление Правительства Удмуртской Республики от 15 апреля 2013 года № 169 "Об утверждении Региональной адресной программы по переселению граждан из аварийного жилищного фонда в Удмуртской Республике на 2013-2017 годы"
Номер опубликования: 1800201709150002
Дата опубликования: 15.09.2017
Страница №32 из 66:
Увеличить