Официальное опубликование правовых актов
ОФИЦИАЛЬНОЕ ОПУБЛИКОВАНИЕ
Постановление Правительства Удмуртской Республики от 26.06.2017 № 284
"О внесении изменений в некоторые постановления Правительства Удмуртской Республики"
Номер опубликования: 1800201707030012
Дата опубликования: 03.07.2017
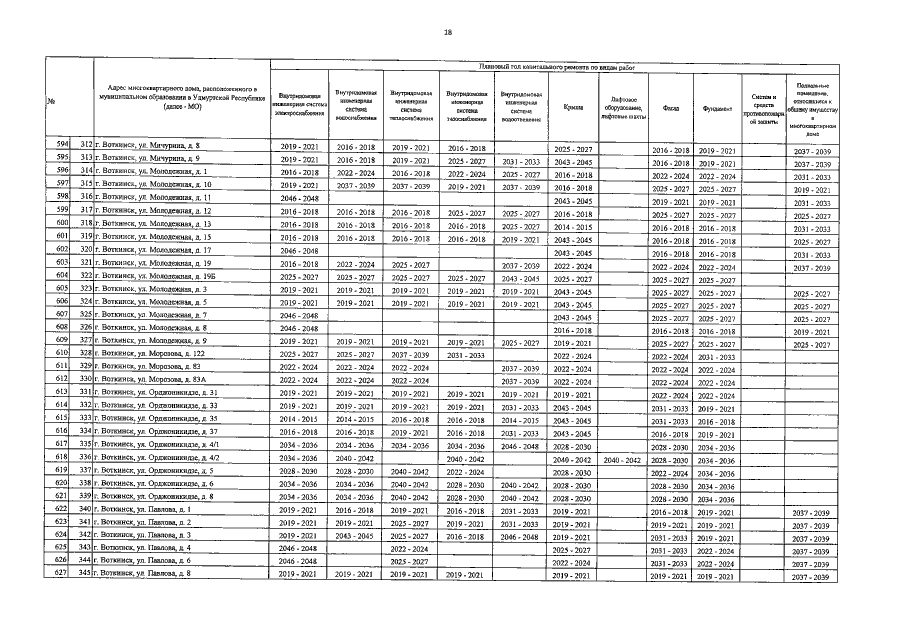
Страница №19 из 203:
Увеличить