Официальное опубликование правовых актов
ОФИЦИАЛЬНОЕ ОПУБЛИКОВАНИЕ
Постановление Правительства Удмуртской Республики от 27.03.2017 № 99
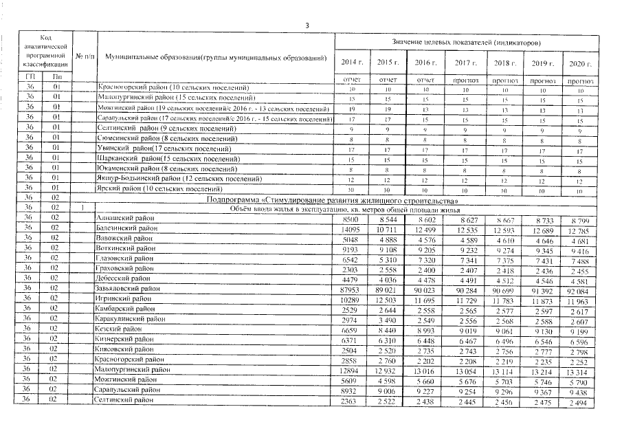
"О внесении изменений в постановление Правительства Удмуртской Республики от 17 августа 2015 года № 408 "Об утверждении государственной программы Удмуртской Республики "Развитие строительной отрасли и регулирование градостроительной деятельности в Удмуртской Республике"
Номер опубликования: 1800201704040004
Дата опубликования: 04.04.2017
Страница №17 из 67:
Увеличить