Официальное опубликование правовых актов
ОФИЦИАЛЬНОЕ ОПУБЛИКОВАНИЕ
Постановление Правительства Удмуртской Республики от 27.02.2017 № 52
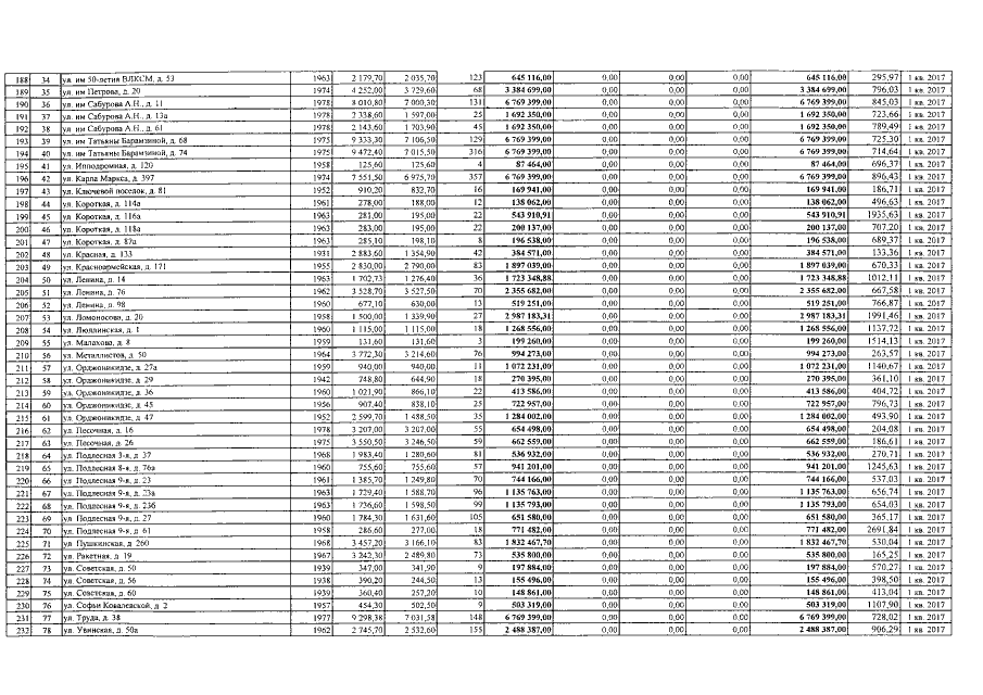
"О внесении изменения в постановление Правительства Удмуртской Республики от 4 апреля 2016 года № 130 "Об утверждении Краткосрочного плана реализации Региональной программы капитального ремонта общего имущества в многоквартирных домах в Удмуртской Республике на 2016 - 2018 годы"
Номер опубликования: 1800201703030002
Дата опубликования: 03.03.2017
Страница №9 из 48:
Увеличить