Официальное опубликование правовых актов
ОФИЦИАЛЬНОЕ ОПУБЛИКОВАНИЕ
Постановление Правительства Удмуртской Республики от 12.09.2016 № 390
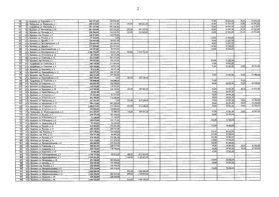
"О внесении изменения в постановление Правительства Удмуртской Республики от 4 апреля 2016 года № 130 "Об утверждении Краткосрочного плана реализации Региональной программы капитального ремонта общего имущества в многоквартирных домах в Удмуртской Республике на 2016 - 2018 годы"
Номер опубликования: 1800201609200006
Дата опубликования: 20.09.2016
Страница №25 из 71:
Увеличить