Официальное опубликование правовых актов
ОФИЦИАЛЬНОЕ ОПУБЛИКОВАНИЕ
Постановление Правительства Удмуртской Республики от 30.03.2016 № 115
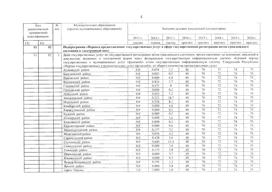
"О внесении изменения в постановление Правительства Удмуртской Республики от 28 мая 2013 года № 226 "Об утверждении государственной программы Удмуртской Республики "Развитие системы государственной регистрации актов гражданского состояния в Удмуртской Республике"
Номер опубликования: 1800201604050008
Дата опубликования: 05.04.2016
Страница №19 из 51:
Увеличить