Официальное опубликование правовых актов
ОФИЦИАЛЬНОЕ ОПУБЛИКОВАНИЕ
Постановление Правительства Удмуртской Республики от 08.02.2016 № 38
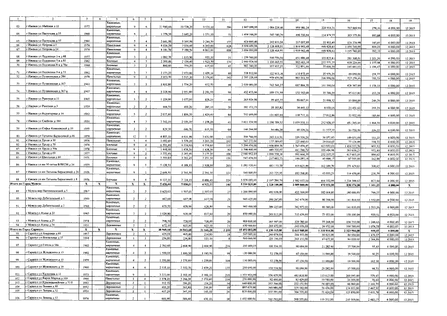
"О внесении изменения в постановление Правительства Удмуртской Республики от 29 сентября 2014 года № 370 "Об утверждении Краткосрочного плана реализации Региональной программы капитального ремонта общего имущества в многоквартирных домах в Удмуртской Республике"
Номер опубликования: 1800201602170015
Дата опубликования: 17.02.2016
Страница №4 из 8:
Увеличить