Официальное опубликование правовых актов
ОФИЦИАЛЬНОЕ ОПУБЛИКОВАНИЕ
Постановление Правительства Удмуртской Республики от 22.06.2015 № 313
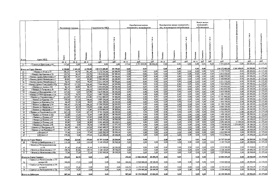
"О внесении изменения в постановление Правительства Удмуртской Республики от 10 мая 2011 года № 146 "Об утверждении Региональной адресной программы по переселению граждан из аварийного жилищного фонда в Удмуртской Республике на 2011 год"
Номер опубликования: 1800201506300006
Дата опубликования: 30.06.2015
Страница №16 из 18:
Увеличить