Официальное опубликование правовых актов
ОФИЦИАЛЬНОЕ ОПУБЛИКОВАНИЕ
Указ Главы Удмуртской Республики от 11.06.2015 № 122
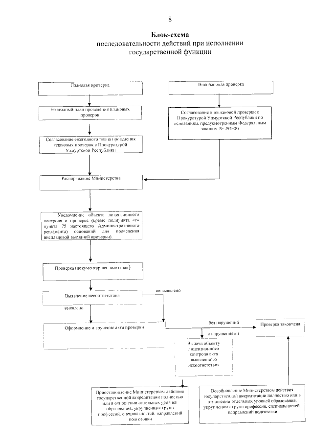
"О внесении изменений в Указ Главы Удмуртской Республики от 12 сентября 2014 года № 274 "Об утверждении Административного регламента Министерства образования и науки Удмуртской Республики по исполнению государственной функции "Осуществление федерального государственного контроля качества образования на территории Удмуртской Республики"
Номер опубликования: 1800201506180005
Дата опубликования: 18.06.2015
Страница №8 из 9:
Увеличить