Официальное опубликование правовых актов
ОФИЦИАЛЬНОЕ ОПУБЛИКОВАНИЕ
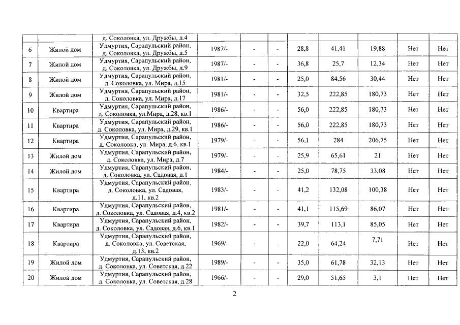
Постановление Правительства Удмуртской Республики от 10.03.2015 № 90
"О разграничении муниципального имущества между муниципальным образованием "Сарапульский район" и входящим в его состав муниципальным образованием "Соколовское"
Номер опубликования: 1800201503130008
Дата опубликования: 13.03.2015
Страница №4 из 5:
Увеличить