Официальное опубликование правовых актов
ОФИЦИАЛЬНОЕ ОПУБЛИКОВАНИЕ
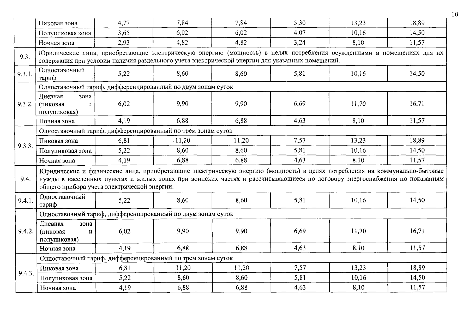
Приказ Службы по тарифам Республики Тыва от 30.12.2025 № 95-тбр
"Об установлении цен (тарифов) на электрическую энергию для населения и приравненных к нему категорий потребителей по Республике Тыва на 2026 год"
(Зарегистрирован 16.01.2026 № 1664)
Номер опубликования: 1701202601190017
Дата опубликования: 19.01.2026
Страница №12 из 23:
Увеличить