Официальное опубликование правовых актов
ОФИЦИАЛЬНОЕ ОПУБЛИКОВАНИЕ
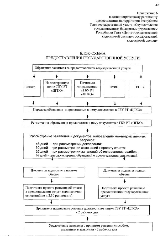
Приказ Министерства земельных и имущественных отношений Республики Тыва от 26.01.2021 № 8-од
"Об утверждении Административного регламента предоставления на территории Республики Тыва государственной услуги "Осуществление государственным бюджетным учреждением Республики Тыва "Центр государственной кадастровой оценки" государственной кадастровой оценки"
(Зарегистрирован 01.02.2021 № 301)
Номер опубликования: 1701202102040001
Дата опубликования: 04.02.2021
Страница №43 из 43:
Увеличить