Официальное опубликование правовых актов
ОФИЦИАЛЬНОЕ ОПУБЛИКОВАНИЕ
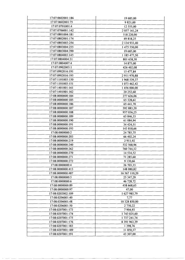
Приказ Министерства земельных и имущественных отношений Республики Тыва от 06.11.2020 № 73
"Об утверждении результатов определения кадастровой стоимости земельных участков категории земель водного фонда, земель лесного фонда, земель промышленности и иного специального назначения, земель особо охраняемых территорий и объектов, расположенных на территории Республики Тыва"
(Зарегистрирован 09.11.2020 № 236)
Номер опубликования: 1701202011100001
Дата опубликования: 10.11.2020
Страница №16 из 33:
Увеличить