Официальное опубликование правовых актов
ОФИЦИАЛЬНОЕ ОПУБЛИКОВАНИЕ
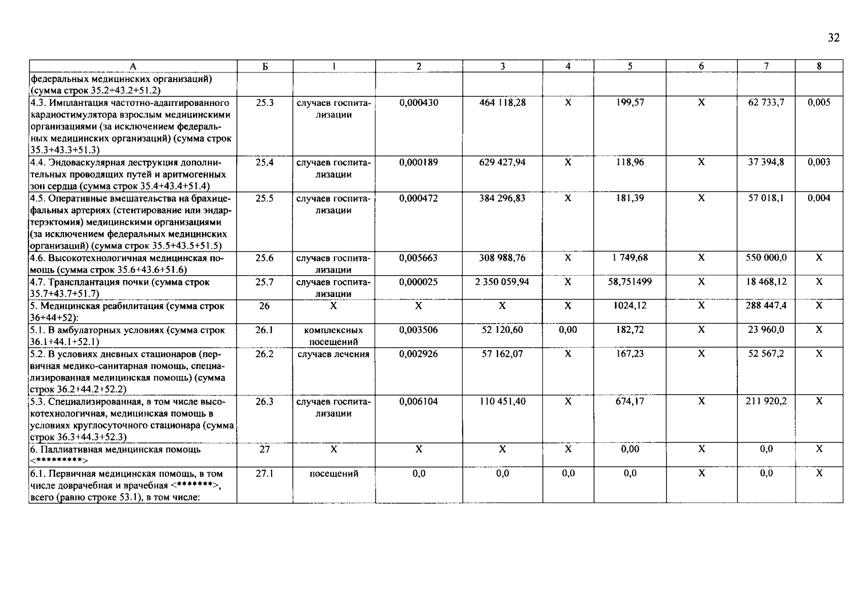
Постановление Правительства Республики Тыва от 30.01.2026 № 38
"Об утверждении Территориальной программы государственных гарантий бесплатного оказания гражданам медицинской помощи в Республике Тыва на 2026 год и на плановый период 2027 и 2028 годов"
Номер опубликования: 1700202602020013
Дата опубликования: 02.02.2026
Страница №129 из 259:
Увеличить