Официальное опубликование правовых актов
ОФИЦИАЛЬНОЕ ОПУБЛИКОВАНИЕ
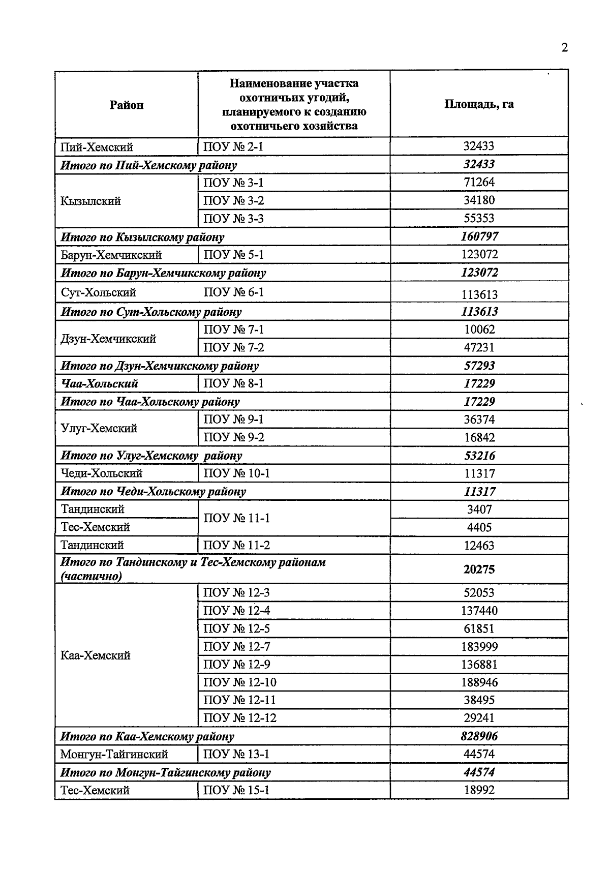
Указ Главы Республики Тыва от 29.12.2025 № 331
"О внесении изменений в Схему размещения, использования и охраны охотничьих угодий на территории Республики Тыва"
Номер опубликования: 1700202601050001
Дата опубликования: 05.01.2026
Страница №2 из 75:
Увеличить